欢迎来到合成化学产业资源聚合服务平台化学加!客服热线 020-29116151、29116152

南开大学Green Chem.:无需释放SO2的可见光诱导Smiles重排反应

来源:化学加      2022-06-08
导读:传统的可见光诱导Smiles重排反应通常会生成C-、N-或O-自由基,同时释放SO2。近日,南开大学汪清民、刘玉秀、宋红健团队开发了一种无需释放SO2的Smiles重排策略,具有出色的原子经济性。同时,该策略不仅可通过光催化自由基加成、芳基迁移和砜自由基还原过程合成烷基亚磺酸盐,而且还可在温和条件下实现丁烯基杂芳基砜衍生物的有效官能团化实验。文章链接DOI:10.1039/D2GC01509A

(图片来源:Green Chem.

具有电子和结构特性的砜、磺酰胺和磺酰氟广泛存在于各种天然产物、农用化学品和药物中,如抗癌与抗炎药比卡鲁胺和阿普斯特、杀虫剂氟虫双酰胺等(Scheme 1A)。亚磺酸盐是合成含有磺酰基衍生物的通用中间体,在过去的几十年中,亚磺酸盐的合成备受关注,并已取得一定的进展。其中,Smiles重排反应是合成亚磺酸盐的有效方法。早在1970年代,Speckamp等课题组开发了涉及自由基化学的Smiles重排反应,近几十年来,自由基Smiles重排反应已取得一定的成果。通过该策略,可合成N-杂环和(杂)芳基化合物以及实现烯烃和炔烃的双官能团化反应。值得注意的是,Nevado课题组报道了通过过渡金属催化的自由基Smiles重排反应合成了N-杂环化合物,Stephenson课题组利用可见光介导的自由基Smiles重排合成了一系列结构复杂的(杂)芳基化合物(Scheme 1B-1)。Stephenson和朱晨课题组通过光氧化还原催化自由基Smiles重排分别实现了非活化烯烃的双官能化反应,随后进行磺酰基的脱除(Scheme 1B-2)。值得注意的是,对于磺酰基的保留,是一种更原子经济性的策略,但很少有文献报道。在此,南开大学汪清民、刘玉秀、宋红健团队报道了一种使用Langlois’试剂 (CF3SO2Na)或芳基亚磺酸钠作为非活化烯烃双官能团化反应的自由基前体,通过可见光介导的自由基Smiles重排反应,可合成一系列脂肪族亚磺酸盐(Scheme 1C)。

(图片来源:Green Chem.

首先,作者以1a作为模型底物,与CF3SO2Na(2a)反应,进行了相关反应条件的筛选(Table 1)。当以[Ir(dF(CF3)ppy)2(dtbbpy)]PF6作为光催化剂,Na2CO3作碱,在EA/H2O(10:1)的混合溶剂中于30 W的蓝色LEDs辐射下室温反应24 h后,再与BnBr反应,即可以75%的收率获得产物3a

(图片来源:Green Chem.

在获得上述最佳反应条件后,作者首先对丁烯基杂芳基砜1的底物范围进行了扩展(Scheme 2)。首先,当底物1中的杂芳基为具有不同电性取代的苯并噻唑时,均可与CF3SO2Na顺利反应,获得相应的产物3a-3g,收率为51-78%。其次,当底物1中的杂芳基为苯并噁唑、嘧啶、噻唑时,可获得相应的产物3h-3l,收率为60-75%。然而,当迁移基团为含有缺电子4-F或富电子4-OMe取代的苯环时,未能获得所需的产物(如3o3p)。此外,HCF2SO2Na(2b)也是合适的自由基前体,获得相应的产物3m-3n,收率为57-70%。

(图片来源:Green Chem.

紧接着,作者发现,当以芳基亚磺酸钠4作为自由基前体,需在优化的条件下(将溶剂改为CH3CN/H2O = 5:1,额外的水可促进4a的溶解以生成芳基磺酰基自由基),才能确保反应顺利进行。同时,作者对有机亚磺酸钠4的底物范围进行了扩展(Scheme 3)。首先,当底物4中的R为一系列具有不同电性的芳基取代时,均可顺利反应,获得相应的产物5a-5h,收率为27-71%。其次,当底物2中的R为萘基、苯并呋喃基、乙基等时,可获得相应的产物5i-5l,收率为43-65%。此外,当底物1中的杂芳基为含有取代基的苯并噻唑、苯并噁唑、嘧啶或噻唑时,也均与体系兼容,获得相应的产物5m-5p,收率为38-59%。值得注意的是,1a4a的克级规模实验,可获得71%收率的产物5a,收率略有下降。

(图片来源:Green Chem.

为了进一步证明反应的实用性,作者以1a作为底物,进行了多种一锅法转化反应(Scheme 4)。首先,各种亲电试剂均可与1a2a/4a顺利反应,获得相应的烷基砜衍生物6a-6f,收率为60-75%。其次,通过该策略很容易引入相应的杂原子,如6g-6h

(图片来源:Green Chem.

为了进一步了解反应迁移的过程,作者选择了具有不同长度烷基链和三取代乙烯基单元的砜底物,对反应进行了研究(Scheme 5)。当n为1或2时,无论R1是甲基还是氢,均可顺利反应,获得相应的产物6j-6n,收率为49-74%。上述结果表明,对于自由基Smiles重排,五元和六元环过渡态是可以接受的。然而,当n为0、3或4时,反应未能进行(如6o-6q),从而表明四元、七元和八元环过渡态是不合适的。

(图片来源:Green Chem.

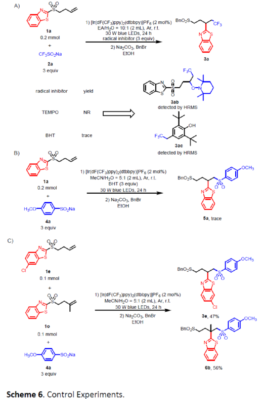
为了进一步了解反应的机理,作者进行了相关的实验研究(Scheme 6)。首先,在1a2a的标准反应体系中加入由基抑制剂TEMPO或BHT时,反应受到抑制,同时通过HRMS检测到自由基加合物3ab3ac的生成,从而表明衍生自CF3SO2Na的三氟甲基自由基可迅速与非活化烯烃反应,生成新的烷基自由基中间体(Scheme 6A)。其次,在1a4a的标准反应体系中加入三当量的BHT时,5a的形成也受到抑制(Scheme 6B)。上述结果表明,反应涉及自由基途径进行。此外,当使用1e1o4a进行混合反应时,可获得产物3e(47%)和6b(56%),从而表明反应涉及分子内的自由基Smiles重排过程(Scheme 6C)。

(图片来源:Green Chem.

基于上述的研究以及相关文献的查阅,作者提出了一种合理的催化循环过程(Scheme 7)。首先,[Ir(dF(CF3)ppy)2(dtbbpy)]PF6在可见光辐射下,可生成长寿命的光激发*IrIII配合物。*IrIII配合物是一种强氧化剂,可与CF3SO2Na或ArSO2Na 经单电子转移,生成三氟甲基或磺酰基自由基和IrII。随后,该自由基可与烯烃1反应生成新的烷基自由基中间体(I),杂芳基立即捕获中间体I,再经分子内迁移,从而生成中间体III。最后,中间体III可与还原性的光催化剂IrII发生单电子转移反应生成目标产物IV,并再生*IrIII配合物,从而完成催化循环。

(图片来源:Green Chem.

总结:南开大学汪清民、刘玉秀、宋红健团队开发了一种温和、高效且原子经济性的可见光诱导自由基Smiles重排反应(无需释放SO2),从而合成了一系列烷基磺酸盐衍生物,可进一步而转化为具有价值的有机硫化合物。同时,该策略具有良好的官能团兼容性,并可用于一些具有杂芳基烷基砜骨架新药的开发。

参考资料:https://mp.weixin.qq.com/s/66EgRbXX1phMnxK1gW46LQ



声明:化学加刊发或者转载此文只是出于传递、分享更多信息之目的,并不意味认同其观点或证实其描述。若有来源标注错误或侵犯了您的合法权益,请作者持权属证明与本网联系,我们将及时更正、删除,谢谢。 电话:18676881059,邮箱:gongjian@huaxuejia.cn